aconit2000@mail.ru

812 764-53-52 - запись на прием
812 373-52-75
812 572-79-77
921 795-02-95 - справки

 

Логин

Пароль

 

 

Функция щитовидной железы в норме и при патологии.
Синтез гормонов щитовидной железы.

Алефиров А.Н.

ключевые слова: щитовидная железа, щитовидка, зоб, йод, тироксин, лечение, гормоны, синтез, эндокринология

 


Книги

Царь-зелье Аконит
© Алефиров, Санкт-Петербург,

©ИД "Весь", Санкт-Петербург, 2001

Полная энциклопедия гомеопатии
© Алефиров, Санкт-Петербург,
©ИД "Весь", Санкт-Петербург, 2001

Мастопатия. Лечение травами
© Алефиров, Санкт-Петербург,
©ИД "Весь", Санкт-Петербург, 2002

Рак. Я объявляю тебе войну!
© Алефиров, Санкт-Петербург,
©"Невский проспект", 2003

Фитотерапия заболеваний щитовидной железы,
© Алефиров, Санкт-Петербург, 2008,
(new!)

ЧАСТО ЗАДАВАЕМЫЕ ВОПРОСЫ

 

ЦАРЬ-ЗЕЛЬЕ АКОНИТ

Как всякий орган человеческого тела щитовидная железа состоит из клеток. Основная клетка щитовидной железы называется тироцит.
Тироциты, выстраиваясь в круг, а точнее, в сферу, образуют функциональную единицу ткани щитовидной железы, которая называется фолликул.
Снаружи фолликула проходят сосуды, из которых тироциты получают все необходимое для жизни и работы. Внутри фолликула имеется полость, где как на складе хранятся полуфабрикаты в виде коллоида.
Как работает тироцит? В нем постоянно идут два разнонаправленных процесса. Один процесс – синтез коллоида, направлен внутрь фолликула.
Другой процесс – синтез гормонов, направлен вовне.
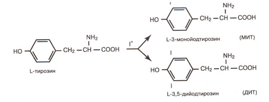
В процессе синтеза гормонов тироцит захватывает из крови йодид-ионы и последовательно, по одному атому, прикрепляет их к аминокислоте тирозину.


электронная библиотека на ТРАВОЛЕКАРЕ

 

Оглавление

 

В результате такой реакции образуется монойодтирозин (МИТ).
Затем к монойодтирозину прикрепляется второй атом йода. Получается молекула с двумя атомами йода, которая называется дийодтирозин (ДИТ).

 

Рисунок 1. Первый этип синтеза тироидных гормонов. Образование тирозинов.

Первый этап синтеза гормонов щитовидной железы

 

(приводится по источнику Строев Ю.И., Чурилов Л.П. "Эндокринология подростков", под ред. проф. Зайчика А.М., 2004)

 

Нам нужно запомнить это соединение, так как дийодтирозин входит в состав некоторых растений и влияет на их лечебные свойства.
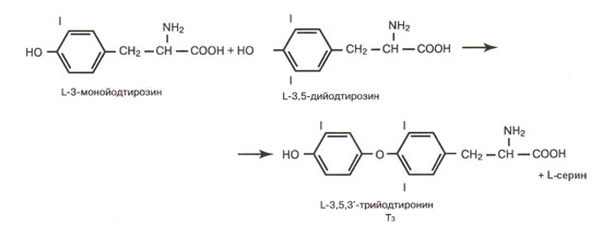
На следующем, и последнем этапе синтеза происходит образование конечных продуктов, веществ, обладающих гормональной активностью. На этом этапе отдельные молекулы моно- и дийодтирозина соединяются друг с другом по две. Этот процесс называется конденсацией. В результате конденсации образуются тиронины – трийодтиронин (Т3) и тетрайодтиронин (Т4, или тироксин).

Рисунок 2. Второй этап синтеза. Конденсация 2 молекул дийодтирозина в тироксин.

 

Конденсация дийодтирозина в тироксин

(приводится по источнику Строев Ю.И., Чурилов Л.П. "Эндокринология подростков", под ред. проф. Зайчика А.М., 2004)

 

Рисунок 3. Альтернативный путь второго этапа: конденсация ДИТ и МИТ в Т3.

Конденсация ДИТ и МИТ  в тироксин

 

(приводится по источнику Строев Ю.И., Чурилов Л.П. "Эндокринология подростков", под ред. проф. Зайчика А.М., 2004)
Трийодтиронин в 3-4 раза более активен, чем тироксин. В сутки щитовидная железа здорового взрослого человека вырабатывает до 0,5 мкг трийодтиронина и 80-90 мкг тироксина. Нормы содержания гормонов в крови взрослого человека следующие:
Гормон норма*
Трийодтиронин, Т3 1,0-2,8 нмоль/л
Тироксин, Т4 56-158 нмоль/л
Свободный трийодтиронин, FT3 3-6 пмоль/лы
Свободный тироксин, FT4 10-23 пмоль/л
Тиреотропный гормон гипофиза, ТТГ (или TSH в англоязычной литературе) 0,23-3,4 мМЕ/л

*различные тест-системы для определения концентрации гормонов в крови могут иметь свои особенности, поэтому производитель к каждой тест-системе дает коридоры нормальных значений, который могут несущественно отличаться.

В таблице указаны нормы как для общих Т3 и Т4, так и для их свободных фракций.
Что такое свободная фракция гормона? Попадая из щитовидной железы в кровь, гормоны в подавляющем своем количестве (99.8%) связываются с белками (тироидсвязывающий белок, альбумин). Не связанных с белком гормонов остается мало, всего около 0,3%. Но именно это ничтожное количество и обеспечивает биологический эффект тироидных гормонов в организме. Эти не связанные с белком гормоны называются свободными, или свободной фракцией.
Гормоны, связанные с белком, неактивны. Это своего рода резерв для всяких непредвиденных обстоятельств. По мере необходимости связанные гормоны высвобождаются и начинают работать.
Кроме тироцитов в ткани щитовидной железы имеются С- клетки, секретирующие гормон кальцитонин. А также клетки Ашкенази-Гюртля и макрофаги (клетки иммунной системы).

© Алефиров А.Н., 2008