aconit2000@mail.ru

812 572-79-77 - запись на прием
921 795-02-95 - справки

о проекте
статьи
онкология
справочник растений
заказ трав
контакт
гомеопатия
форум
тех.поддержка

Химический состав аконита.

Химический состав аконита, как и любого другого растения, довольно сложен. У представителей разных секций борцов состав неодинаков.

Секция Napellus в своих корнях содержит алкалоиды преимущественно аконитиновой группы, крахмал и органические кислоты.

Химический состав растений, относящихся к секции Lycoctonum, можно проиллюстрировать на примере борца белоустого (А. leucostomum) (90): в корневищах кроме 0,8-4,9% алкалоидов различных групп содержатся дубильные вещества, кумарины и флавоноиды.

В стеблях, листьях и цветках содержится соответственно по 0,3-1,07%, 0,62-3,99% и 1,38-4,56% алкалоидов. Как видно, наибольшее количество алкалоидов содержится в цветках. Этот факт необходимо учитывать при решении вопроса о ядовитости аконитового меда.

Макроэлементы (мг/г): К-16,3; Са-11; Мg-2,7; Fе-0,4;

Микроэлементы (мкг/г): Мn-73,3; Сu-11,3; Zn-58,5; Мо-0,4; Сг-0,32; А1-512,8; Ва-54,88; V-1,04; Sе-0,11; Ni-4,0; Sr-280,8; РЬ-0,88; В-60,8; I-0,9.

Конечно же, наиболее интересны и важны в составе аконита алкалоиды, сообщающие ему индивидуальные видовые свойства.

Впервые алкалоиды аконита были открыты французским химиком Пешье в 1820 году. Однако, в чистом виде аконитин - самый первый и ярчайший представитель алкалоидов борца - был выделен через 18 лет, в 1838 году двумя немцами, токсикологами Гейгером и Гессе. А еще через сто лет японский химик Майима определил, что европейские и японские акониты содержат в своем составе смесь трех кристаллических алкалоидов - аконитина, мезаконитина и гипаконитина, отличающихся только радикалами в химической формуле (64).

Алкалоиды аконита нерастворимы в воде, плохо растворимы в эфире, хорошо - в хлороформе и спирте.

По химической структуре все алкалоиды аконита делятся на три группы (155):

  1. Аконитиновый тип

    .

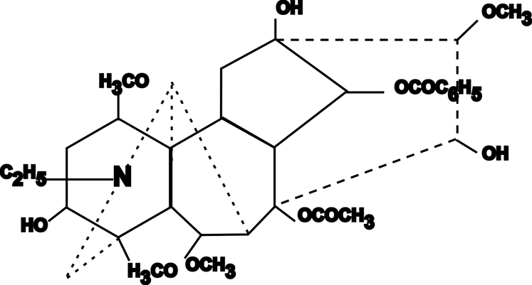
Алкалоиды этой группы наиболее ядовиты. Яркими представителями аконитиновой группы являются сам аконитин (С3447-NО11), мезаконитин (Сзз-Н45-NO11), лаппаконитин, аконифин, акомонин, караколин, талатизамин, метилликаконитин, иезаконитин (С3549-NO12), гипаконитин (С3345-NO10).

Все алкалоиды аконитиновой группы имеют в своем составе аконин - основание, связанное у различных видов аконита с остатками разных органических кислот: уксусной, бензойной, вератровой, янтарной, анисовой и других. Примечательно, что аконин является антагонистом аконитина.

При гидролизе аконитина образуется пикроаконитин и уксусная кислота. При дальнейшем расщеплении происходит распад на аконин и бензойную кислоту (64).

Алкалоиды аконитиновой группы нередко значительно отличаются по силе кардиотоксического и обезболивающего действия, что связано с различиями в химическом строении, наличием и видом радикалов у атомов углерода. Примером могут служить аконитин и лаппаконитин, относящиеся к одной группе и сильно отличающиеся по силе действия и терапевтической широте, а также караколин, практически не оказывающий токсического действия на организм.

Также известно, что степень активации или блокирования натриевого канала связана с наличием бензоил-эстерогруппы в позиции С-4 или С-14 (31), а усиление интенсивности кровотока под действием С-20-дитерпеноидов зависит от присутствия свободной ОН - группы у С-6 (как у псевдокобузина) или эстерификацией С-15 ацетатом или бензоатом (53, 54).

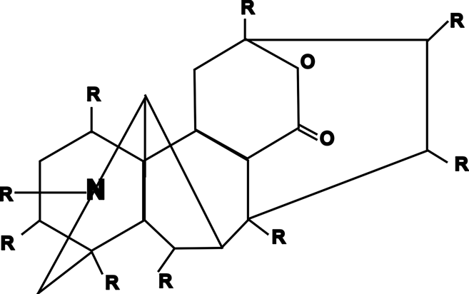
2. Гетератизиновый тип.

Содержит в своем составе лактоновое кольцо (R - различные радикалы). Представитель - гетератизин, б-бензоилгетератизин.

 

 

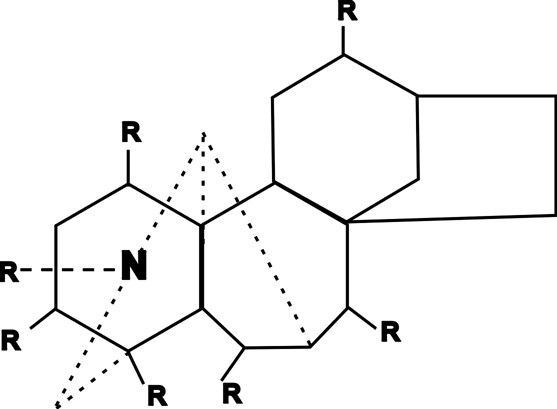
3. Атизиновый тип.

Алкалоиды этой группы содержат пергидрофенантреновое ядро. Представители: анторин, псевдоанторин, зонгорин, ацетилзонгорин, атизин (С2231-NО11). Эти алкалоиды не ядовиты.

В иностранной литературе встречается разделение аконитовых алкалоидов на С19- и С20-дитерпеноиды. К первым относят аконитин, мезаконитин, гипаконитин, лаппаконитин, а ко вторым - делькозин, 14-ацетилделькозин, люцидокулин, кобузин, псевдокобузин, люцикулин, 1-ацетиллюцикулин, дегидролюцикулин и другие (5-17,53,54). В результате последних исследований учеными выделен из аконита Кузнецова новый алкалоид бейвудин, отнесенный к нордитерпеноидам (55).

Физиологические эффекты алкалоидов разных групп обсуждаются в следующих главах.

В настоящее время существует много методов количественного и качественного определения алкалоидов аконита как in vitro, так и in vivo.

Согласно 8 Государственной Фармакопеи СССР (165) качественное определение производилось следующим образом: смешивали 2 мл исследуемой настойки, 3 мл эфира, 1.5 мл раствора аммиака, сильно взбалтывали и добавляли 4 мл воды. Давали отстояться. Затем 2 мл прозрачного эфирного слоя помещали в фарфоровую чашку, смешивали с 6 каплями фосфорной кислоты и давали эфиру испариться при комнатной температуре. Оставшаяся жидкость при нагревании на голом огне должна дать фиолетовое окрашивание.

Количественный анализ: 50 мл препарата выпаривают во взвешенной колбе при температуре не выше 60°С до остатка 10 г, по охлаждении прибавляют 5 г безводного спирта, 70 г эфира и после сильного взбалтывания 2 мл раствора аммиака. Смесь сильно взбалтывают в продолжение 15 минут (смесь должна оставаться сильно щелочной). По отстаивании эфирный слой процеживают через вату, прикрыв воронку часовым стеклом. 50 г эфирного раствора (=33,33 мл настойки) помещают в колбу емкостью 200 мл и эфир отгоняют. В колбу дважды доливают по 5 мл нейтрализованного эфира и каждый раз его сполна отгоняют. К остатку в колбе приливают 5 мл 95° спирта, нагревают его на водяной бане в течение 4-5 минут, стараясь смачивать спиртом всю поверхность остатка, затем добавляют 30 мл свежепрокипяченной и охлажденной воды, несколько капель метилового красного и титруют 0,1 н. Раствором соляной кислоты до розового окрашивания.

1 мл 0,1 н. Раствора соляной кислоты соответствует 0,0645 г алкалоидов, которых в настойке должно быть не менее 0,048 % и не более 0,052 % (165).

В настоящее время для качественного и количественного определения алкалоидов аконита используются экстракционно-фотометрический метод (111, 112), метод определения алкалоидов, меченных дейтерием (34), газохроматографическая спектрометрия (35, 52), электрохимическая детекция (42), комбинация масс-спектрометрии, капиллярно-жидкостной хроматографии и твердо-фазовой экстракции с бомбардировкой жесткими излучениями (47, 48), ядерно-магнитный резонанс (55) и другие методы (37, 43, 52).

Всего выделено около 250 алкалоидов борца.

Все части растения богаты алкалоидами. Уже упоминался процентный состав алкалоидов борца белоустого. У борца реповидного в корнях находят от 0,14 до 3,5% алкалоидов, основу которых составляют аконитины. В зеленой части растения чаще всего бывает от 0,2 до 0,6% алкалоидов (158).

Процентное содержание алкалоидов в различных частях растения зависит от нескольких причин.

Во-первых, от фазы вегетации. Обнаружено, что наибольшее количество алкалоидов в зеленой части растения содержится весной в молодых побегах, а также в период бутонизации. В клубнях также больше всего алкалоидов ранней весной до активного развития стебля, либо поздней осенью, когда растение отцветает.

Во-вторых, от условий произрастания борца. Считается, что больше всего алкалоидов содержат акониты, растущие на восточных и северных склонах гор, а также в тени, в распадках сопок.

В-третьих, от вида борца. Так, акониты гиринский (3,5%) и Кузнецова (0,25%) отличаются друг от друга по алкалоидосодержанию в 14 раз (157). При этом чемпионом по содержанию ядовитых алкалоидов (в большей мере, псевдоаконитина, в 2 раза превосходящего по силе действия аконитин) заслуженно считают так называемый индийский аконит (ассоциируемый с А. ferox или А. laciniatum), произрастающий сключительно в субальпийской зоне Гималаев, известный в Индии под названием Бикх (Биш) или Наби (128).